www.cgtsocgen.fr www.cgtsocgen.fr
  • Se Connecter
  • S'inscrire
  • Se Connecter
  • S'inscrire

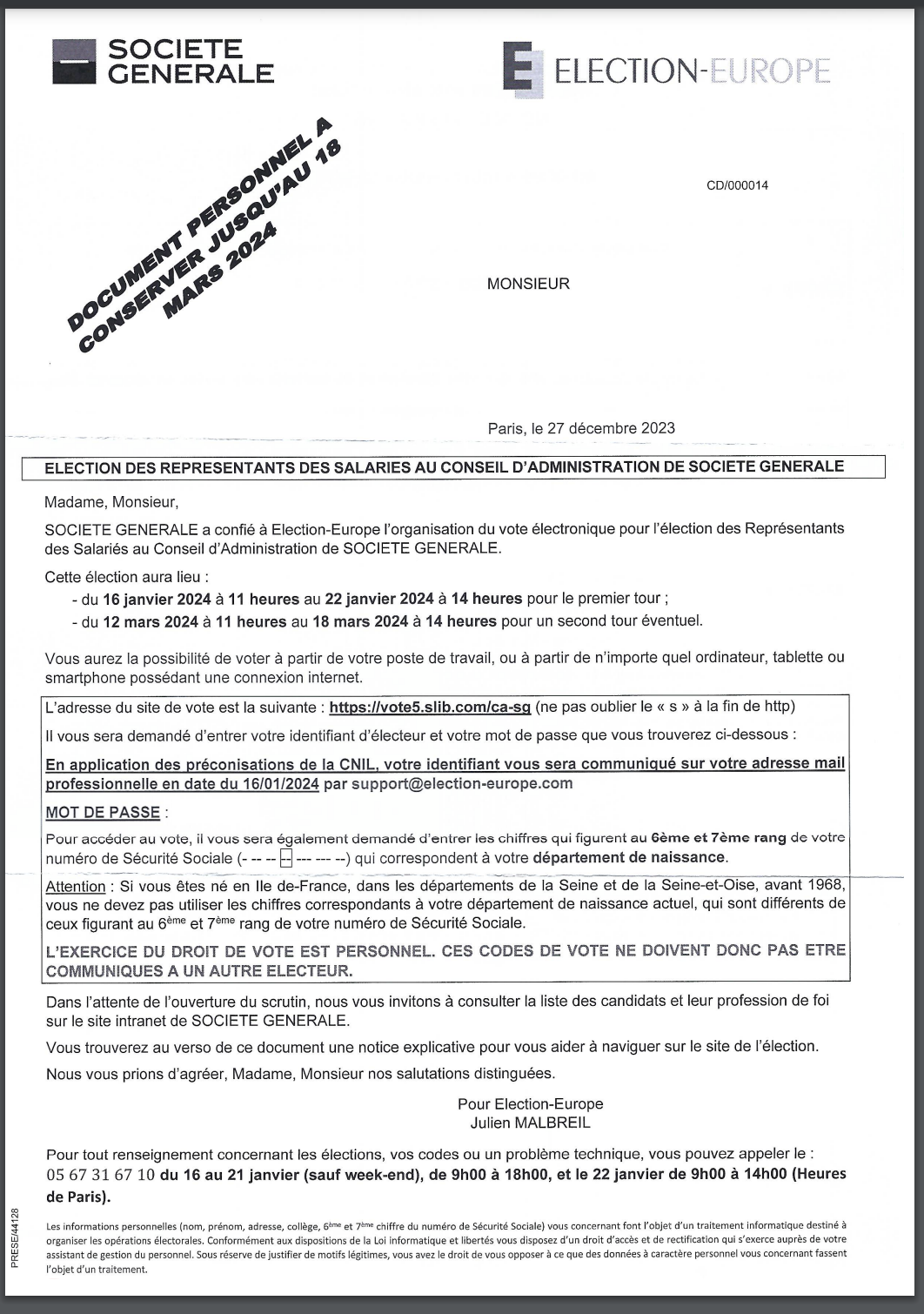
Elections conseil d'administration 2024 : Lettre au domicile

lettredrh160122

Philippe FOURNIL Élections 13 Janvier 2024 Clics : 928
Philippe FOURNIL
Philippe FOURNIL
Article précédent : C'est quoi le Conseil d'administration ? Précédent Article suivant : 318 Signataires du comité de soutien des 4 candidatures CGT au conseil d'administration - 11 Janvier 2024 Suivant

Sur le même sujet :

  • Assemblée Générale des actionnaires 2025 : Vos pouvoirs et les propositions de vote CGT - Avant le 20 mai 2025

    14 Avril 2022
  • Assemblée Générale des actionnaires 2024 : Vos pouvoirs et les propositions de vote CGT - Avant le 17 mai 2024

    14 Avril 2022
  • Incident technique - Nouveau vote pour l’élection au Conseil de surveillance du Fonds E ! 29 mars 2024

    29 Mars 2024
  • Conseil d'administration : Les résultats

    8 Mars 2024
  • Taux de participation - Elections Conseil d'administration - 18 Mars 2024 - 14h00

    18 Mars 2024
  • Tout savoir sur l'élection de nos représentants au sein du conseil d'administration - 18 Mars 2024

    17 Mars 2024
  • Conseil d'administration : avant lundi 14h00, vous avez la parole !

    8 Mars 2024
  • Vous connaissez Emeric et Hélène ?

    8 Mars 2024
  • Vous connaissez Ludivine ? (Vidéo 1'35)

    6 Mars 2024
  • Vous connaissez Emeric ? (vidéo 3'13)

    6 Mars 2024
© 2025 Le site officiel de la CGT Société Générale
  • 01 42 14 48 68
  • info@cgtsg.fr
www.cgtsocgen.fr www.cgtsocgen.fr
  • Accueil
    • Les Infos CGT SG
    • Dernières actualités
  • Se Connecter
  • S'inscrire
  • 01 42 14 48 68
  • info@cgtsg.fr